有机膦系列
羟乙基乙二胺三甲叉膦酸HEDTMP
CAS No. 186614-90-4
[N-(2-hydroxyethyl) ethlenediamine-1,1,2-tri (methylene phosphonic acid)
别名:羟乙基乙二胺三亚甲基膦酸
CAS No. 186614-90-4
分子式C7H21O10N2P3 相对分子质量:386
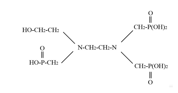
结构式
一、性能与用途
羟乙基乙二胺三甲叉膦酸(HEDTMP)是一种多用途阻垢剂、强力螯合剂和优良的碳酸钙、硫酸钡阻垢剂。产品易溶于水,无毒,对钙和铁有优异的耐受性,且产品耐高温。在油田领域通常作为阻垢缓蚀剂,阻止在生产管道、完井系统和加工设施出现结垢、沉淀和粘附。
二、技术指标
|
项 目 |
指 标 |
|
|
外 观 |
淡黄色透明液体 |
|
|
活性组分% |
≥ |
35.0 |
|
氯化物(以Cl-计) % |
≤ |
6.0 |
|
铁(以Fe2+计)含量mg/L |
≤ |
20 |
|
密度(20℃)g/cm3 |
≥ |
1.25 |
|
pH值(10g/L水溶液) |
≤ |
2.0 |
三、使用方法
HEDTMP常与其它有机膦酸、聚羧酸或盐等复配成有机水处理剂,用于各种不同水质条件下的循环冷却水系统。用量以1~20mg/L为佳;作缓蚀剂使用时,用量为20~60mg/L。
四、包装与贮存
HEDTMP液体用塑料桶包装,每桶25kg或250kg,也可根据用户需要确定。贮于室内阴凉通风处,防潮、严防曝晒,贮存期十二个月。
五、安全防护
HEDTMP为酸性,操作时注意劳动保护,应避免与皮肤、眼睛等接触,接触后应立即用大量清水冲洗。
录入时间:2025/1/3 9:29:14 点击次数:2100
